44 θάνατοι, 354 διασωληνωμένοι - 1.642 στη Δυτική Ελλάδα
Ο ΕΟΔΥ ανακοίνωσε 23.748 κρούσματα σήμερα, Τετάρτη 16 Μαρτίου, καθώς και 44 θανάτους το τελευταίο 24ωρο σύμφωνα με την τελευταία ενημέρωση για τον κορωνοϊό στην Ελλάδα. Επίσης, στα νοσοκομεία νοσηλεύονται 354 διασωληνωμένοι ασθενείς με covid.
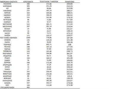
Σύμφωνα με την σημερινή ανακοίνωση του ΕΟΔΥ, η Δυτική Ελλάδα καταγράφει 1.642 νέες μολύνσεις, εκ των οποίων 738 η Αχαϊα. Η Αιτωλοακαρνανία μετράει 567 νέα κρούσματα και η Ηλεία 337.
Σύμφωνα με την επιδημιολογική έκθεση του ΕΟΔΥ:
Τα νέα εργαστηριακά επιβεβαιωμένα κρούσματα της νόσου που καταγράφηκαν τις τελευταίες 24 ώρες είναι 23.748, εκ των οποίων
23 εντοπίστηκαν κατόπιν ελέγχων στις πύλες εισόδου της χώρας.
Ο συνολικός αριθμός των κρουσμάτων ανέρχεται σε 2.708.610 (ημερήσια μεταβολή +0.9%), εκ των οποίων 49.3% άνδρες.
Με βάση τα επιβεβαιωμένα κρούσματα των τελευταίων 7 ημερών, 211 θεωρούνται σχετιζόμενα με ταξίδι από το εξωτερικό και 1.564 είναι σχετιζόμενα με ήδη γνωστό κρούσμα.
To Rt για την επικράτεια βάσει των κρουσμάτων εκτιμάται σε 1.04 (95% ΔΕ: 0.96 - 1.12)
Οι νέοι θάνατοι ασθενών με COVID-19 είναι 44, ενώ από την έναρξη της επιδημίας έχουν καταγραφεί συνολικά 26.730 θάνατοι. Το 95.2% είχε υποκείμενο νόσημα ή/και ηλικία 70 ετών και άνω.
Ο αριθμός των ασθενών που νοσηλεύονται διασωληνωμένοι είναι 354 (65.3% άνδρες). Η διάμεση ηλικία τους είναι 69 έτη.
To 90.7% έχει υποκείμενο νόσημα ή/και ηλικία 70 ετών και άνω. Μεταξύ των ασθενών που νοσηλεύονται διασωληνωμένοι, 227 (64.12%) είναι ανεμβολίαστοι ή μερικώς εμβολιασμένοι και 127 (35.88%) είναι πλήρως εμβολιασμένοι. Από την αρχή της πανδημίας έχουν εξέλθει από τις ΜΕΘ 4.373 ασθενείς.
Οι εισαγωγές νέων ασθενών Covid-19 στα νοσοκομεία της επικράτειας είναι 345 (ημερήσια μεταβολή +16.55%).
Ο μέσος όρος εισαγωγών του επταημέρου είναι 303 ασθενείς.Η διάμεση ηλικία των κρουσμάτων είναι 35 έτη (εύρος 0.2 έως 112 έτη), ενώ η διάμεση ηλικία των θανόντων είναι 79 έτη (εύρος 0.2 έως 106 έτη).
Πώς κατανέμονται τα νέα κρούσματα
Από τα στοιχεία του ΕΟΔΥ προκύπτει πως από τα συνολικά κρούσματα του τελευταίου 24ώρου, τα εντοπίστηκαν στην Αττική, τα 2.446 στη Θεσσαλονίκη, ενώ τα 1.039 στο Ηράκλειο.


Ακολουθήστε το thebest.gr στο Google News και μάθετε πρώτοι όλες τις ειδήσεις
Δείτε όλες τις τελευταίες Ειδήσεις από την Ελλάδα και τον Κόσμο, τη στιγμή που συμβαίνουν, στο thebest.gr












