Σύμφωνα με έρευνα της γενικής γραμματείας Αντεγκληματικής Πολιτικής του υπουργείου Δικαιοσύνης
Μπορεί να μειώθηκε το πρόβλημα του υπερπληθυσμού στις φυλακές της χώρας, όπως προκύπτει από έρευνα-μελέτη που πραγματοποιήθηκε πρόσφατα, ωστόσο στις αντρικές φυλακές, όπως αυτή της Πάτρας τα κελιά ...ξεχειλίζουν. Είναι ενδεικτικό ότι στην φυλακή του Αγίου Στεφάνου κρατούνται 177 επιπλέον φυλακισμένοι.
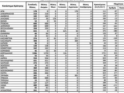
Συγκεκριμένα, από τη γενική γραμματεία Αντεγκληματικής Πολιτικής του υπουργείου Δικαιοσύνης πραγματοποιήθηκε έρευνα-μελέτη, με το ερώτημα «Πόσοι κρατούμενοι χωράνε στις ελληνικές φυλακές;» και σύμφωνα με το υπουργείο Δικαιοσύνης «σ’ αυτό το ερώτημα δίνει ξεκάθαρη απάντηση έρευνα-μελέτη που πραγματοποιήθηκε, για πρώτη φορά». Η σχετική ανακοίνωση συνεχίζει ως εξής:
«Η αποτύπωση της χωρητικότητας των ελληνικών φυλακών έγινε με βάση τις διεθνείς προδιαγραφές (4 τ.μ. ανά κρατούμενο) και τα υφιστάμενα κτιριακά δεδομένα, ώστε να δίδει την πραγματική εικόνα των χώρων κράτησης και έτσι να συμβάλει στη διαχείριση του πληθυσμού των κρατουμένων. Τα στοιχεία θα υπάρχουν στον ιστότοπο του υπουργείου και θα επικαιροποιούνται, τακτικά, ως προς τον αριθμό κρατουμένων αλλά και τις διαθέσιμες θέσεις κράτησης».
Παράλληλα, το υπουργείο Δικαιοσύνης εξέδωσε σχετική εγκύκλιο, με την οποία «ενημερώνονται όλοι οι αρμόδιοι φορείς, γίνεται, για πρώτη φορά, σαφής διαχωρισμός των επιμέρους κατηγοριών θέσεων κράτησης, καθώς αυτές διατίθενται αποκλειστικά στην εκάστοτε συγκεκριμένη κατηγορία κρατουμένων».
Αναλυτικότερα, σύμφωνα με την έρευνα-μελέτη, «βρέθηκαν 7.512 θέσεις για άντρες, 325 θέσεις για νέους και ανηλίκους, 769 θέσεις για γυναίκες, 1.029 θέσεις σε αγροτικές φυλακές, και 180 θέσεις για απεξάρτηση».
Από τα στοιχεία αυτά, προκύπτει ότι «αν και οι θέσεις κράτησης σε φυλακές είναι συνολικά 9.815 (επί συνόλου κρατουμένων 9.573), υφίσταται υπερπλήρωση σε φυλακές κράτησης ενηλίκων ανδρών», αναφέρει το υπουργείο.
Ακόμη αναφέρεται στην ανακοίνωση ότι «η αποφυγή του υπερπληθυσμού στις φυλακές αποτελεί σταθερή επιδίωξη του υπουργείου Δικαιοσύνης, τόσο για την προστασία των ανθρωπίνων δικαιωμάτων όσο και για τη διατήρηση όρων ασφαλείας και εύρυθμης λειτουργίας σε αυτές».
Τέλος η ανακοίνωση αναφέρει: «Η διάθεση του ελάχιστου, ανά κρατούμενο, χώρου, σε συνδυασμό με τις υπόλοιπες συνθήκες κράτησης, την παροχή ψυχοκοινωνικής στήριξης, δημιουργικής απασχόλησης, εκπαίδευσης των κρατουμένων αλλά και την ενίσχυση της σωφρονιστικής διοίκησης και την επιμόρφωση των προσωπικού, επιβάλλονται από διεθνή και ευρωπαϊκά πρότυπα, με στόχο την ομαλή επανένταξη και την πρόληψη της υποτροπή.
Αποτελεί, άλλωστε κοινή παραδοχή, ότι η ανθρώπινη και δίκαιη μεταχείριση των κρατουμένων συμβάλλει αποφασιστικά στην αντεγκληματική πολιτική».
ΔΙΑΒΑΣΤΕ ΑΚΟΜΑ
Συγκέντρωση αντιεξουσιαστών στις φυλακές Αγίου ... - The Best News
Κρατούμενοι των φυλακών Αγ. Στεφάνου Πάτρας ... - The Best News
Στις φυλακές του Αγ. Στεφάνου πλέον οι προαγωγικές ... - The Best News
Πάτρα: Ανησυχία στις φυλακές Αγίου Στεφάνου από ... - The Best News

Ακολουθήστε το thebest.gr στο Google News και μάθετε πρώτοι όλες τις ειδήσεις
Δείτε όλες τις τελευταίες Ειδήσεις από την Ελλάδα και τον Κόσμο, τη στιγμή που συμβαίνουν, στο thebest.gr










